t-ºÐÆ÷¸¦ ½±°Ô ÀÌÇØÇÏ·Á¸é,
ÀÌ ºÐÆ÷´Â ¼øÀüÈ÷ Æò±Õ°ËÁ¤À» Çϱâ À§ÇØ °í¾ÈµÇ¾ú´Ù´Â Á¡À» ¾Ë°í ÀÖ¾î¾ß ÇÑ´Ù.

¸¸¾à ¸ðÁý´ÜÀÌ Á¤±ÔºÐÆ÷¸¦ µû¸¥´Ù°í Çϸé, Ç¥º»Æò±ÕÀº, 𝐗~𝑵(𝝁, 𝝈𝟐/𝒏)À» µû¸¥´Ù.
±×·¡¼ °ú°Å¿¡´Â À̸¦ ÀÌ¿ëÇÏ¿© Æò±Õ °ËÁ¤À» ÇØ¿Ô´Âµ¥, ÀϹÝÀûÀ¸·Î ¿ì¸®´Â ¸ðºÐ»êÀÎ 𝝈𝟐À» ¾Ë ±æÀÌ ¾ø´Ù.

¸¸¾à nÀÌ ¸Å¿ì Å©´Ù¸é Ç¥º»Æò±ÕÀº ´õ¿í Á¤È®È÷ Á¤±ÔºÐÆ÷¸¦ µû¸¦ °ÍÀ̰í, Ç¥º»Æò±ÕÀÇ ºÐ»ê ¿ª½Ã 0À¸·Î Á¡Â÷ ¼ö·ÅÇÏ°Ô µÈ´Ù. ÀÌ °æ¿ì, »ç½Ç»ó 𝜎2ÀÇ ¿µÇâÀÌ ¹Ì¹ÌÇÏ°Ô µÇ¾î ¹«½ÃÇÒ ¼ö ÀÖÁö¸¸, Ç¥º» ¼ö nÀÌ ÀÛÀ» ¶§´Â ¹®Á¦°¡ µÉ ¼ö ÀÖ´Ù. ¸ðºÐ»ê 𝝈𝟐À» Á¤È®È÷ ¾Ë ¼ö ¾øÀ» »Ó ¾Æ´Ï¶ó, ±× °ª¿¡ µû¶ó Á¤±ÔºÐÆ÷ÀÇ ¸ð¾çÀÌ Å©°Ô ÁÂÁö¿ìÁöµÇ¾î, Á¤±ÔºÐÆ÷¸¦ ÀÌ¿ëÇÑ °ËÁ¤ÀÌ ±× ½Å·Ú¼ºÀ» ÀҰԵDZ⠶§¹®ÀÌ´Ù.

ÀÌ °æ¿ìÀÇ °ËÁ¤À» À§ÇØ, Á¤±ÔºÐÆ÷¿Í ÇüÅ´ ºñ½ÁÇÏÁö¸¸ ¸ðºÐ»ê Ç×À» Æ÷ÇÔÇϰí ÀÖÁö ¾Ê°í, ´ë½Å Ç¥º»ºÐ»êÀ» ÀÌ¿ëÇÑ ºÐÆ÷¸¦ °í¾ÈÇØ ³»¾ú´Âµ¥, ±×°ÍÀÌ t-ºÐÆ÷ÀÌ´Ù. tºÐÆ÷´Â Á¤±ÔºÐÆ÷¿Í °°ÀÌ Áß½ÉÀ» ±âÁØÀ¸·Î ÁÂ¿ì ´ëĪÀ̰í Á¾¸ð¾çÀÇ ÇüŸ¦ °®°í Áß½ÉÀº 0À¸·Î °íÁ¤µÇ¾î ÀÖ´Ù.
Áï, Ç¥ÁØÁ¤±ÔºÐÆ÷¿Í Áß½ÉÀÌ °°°í ÀÚÀ¯µµ(degree of freedom, df)¿¡ µû¶ó Á¾¸ð¾çÀÇ ÇüŰ¡ Á¶±Ý¾¿ º¯ÇÑ´Ù. df´Â Ç¥º» ¼ö¿Í °ü·ÃÀÌ ÀÖ´Â °³³äÀ¸·Î, Ç¥º»(n)ÀÌ ¸¹¾ÆÁö¸é Ç¥ÁØÁ¤±ÔºÐÆ÷¿Í °ÅÀÇ µ¿ÀÏÇÑ ÇüŸ¦ º¸ÀδÙ.

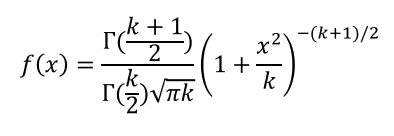
𝑦~𝑡(𝑘)À̸é, È®·ü¹ÐµµÇÔ¼ö 𝑓(𝑥)´Â ´ÙÀ½ ½ÄÀ¸·Î Ç¥ÇöµÈ´Ù. ¿©±â¼, k=ÀÚÀ¯µµ,−¡Ä<y<¡Ä

t-ºÐÆ÷ Å×ÀÌºí¿¡¼ ¿¹¸¦ µé¾î, ÀÚÀ¯µµ=5ÀÇ °æ¿ì ¥á°ª(1 tail)=0.05¿Í ¥á°ª(2 tail)=0.1ÀÇ Àû¿ë´©ÀûÈ®·üÀÌ °°Àº 0.95À̸ç, t-°ªµµ µ¿ÀÏÇÏ°Ô 2.015Àϱî?

¡á ÇÙ½É ÄÁ¼Á: 1) ´ÜÃø °ËÁ¤(1 tail): °ËÁ¤ Åë°è·®ÀÌ ºÐÆ÷ÀÇ ÇÑÂÊ ²¿¸®¿¡ ¼ÓÇÒ È®·üÀ» Æò°¡ÇÑ´Ù. 2) ¾çÃø °ËÁ¤(2 tail) : °ËÁ¤ Åë°è·®ÀÌ ºÐÆ÷ÀÇ ¾çÂÊ ²¿¸®¿¡ ¼ÓÇÒ È®·üÀ» Æò°¡ÇÑ´Ù.

¡á ¾çÃø °ËÁ¤(2 tail) 𝛼=0.10: Á¿ìÃø °¢ 𝛼/2=0.05 1) ¿ìÃøÀÇ ´©ÀûÈ®·ü: 1−𝛼=0.95, t-°ª: T.INV(0.95, 5)=2.015 2) ÁÂÃøÀÇ ´©ÀûÈ®·ü: 𝛼=0.05, t-°ª: T.INV(0.05, 5)=-2.015 3) ÇØ¼®: Á¿ìÀÇ °¢ 𝛼=0.05¿¡ ´ëÇÑ t-°ª=¡¾2.015·Î¼ ´ëÇ¥°ªÀ¸·Î 2.015¸¦ »ç¿ëÇÑ´Ù.
t-ºÐÆ÷´Â ¸ðÁý´ÜÀÌ Á¤±ÔºÐÆ÷¸¦ ÇÏ´õ¶óµµ ºÐ»ê(¥ò©÷)ÀÌ ¾Ë·ÁÁ® ÀÖÁö ¾Ê°í, Ç¥º»ÀÇ ¼ö°¡ ÀûÀº °æ¿ì¿¡, Æò±Õ ¥ì¿¡ ´ëÇÑ °¡¼³°ËÁ¤ ¹× ½Å·Ú±¸°£ ÃßÁ¤¿¡ À¯¿ëÇÏ°Ô »ç¿ëµÈ´Ù.
t-ºÐÆ÷´Â ¸ðºÐ»êÀ» ¾Ë ¼ö ¾øÀ» ¶§ Á¤±ÔºÐÆ÷ ´ë½Å »ç¿ëÇÑ´Ù.
¸ðºÐ»êÀ» ¾Ë ¼ö ¾ø°í, Ç¥º»ÀÇ Å©±â°¡ ÀÛÀº µ¥ÀÌÅ͸¦ °ËÁ¤ÇÏ·Á¸é t-ºÐÆ÷¸¦ »ç¿ëÇÑ´Ù.
¡á °¡¼³ °ËÁ¤(t °ËÁ¤): 𝒕=(𝒙−𝝁)/(𝒔/¡î𝒏)
ÀÏÇ¥º» t-°ËÁ¤(1 Sample t-test): ¸ðÁý´ÜÀÇ Æò±ÕÀÌ Æ¯Á¤°ªÀ̶ó°í ÇÒ ¼ö Àִ°¡¸¦ °ËÁ¤ÇÒ ¶§ »ç¿ëÇÑ´Ù
ÀÌÇ¥º» t-°ËÁ¤(2 Sample t-test): µÎ ¸ðÁý´ÜÀÇ Æò±ÕÀÌ ´Ù¸£´Ù°í ÇÒ ¼ö ÀÖ´Â °¡¸¦ °ËÁ¤ÇÒ ¶§ »ç¿ëÇÑ´Ù
´ëÀÀÇ¥º» t-°ËÁ¤(Paired Sample t-test): ¸ðÁý´ÜÀÇ Â¦Áö¾îÁø º¯¼öµéÀÇ Æò±ÕÀÌ ´Ù¸£´Ù°í ÇÒ ¼ö ÀÖ´Â °¡¸¦ °ËÁ¤ÇÒ ¶§ »ç¿ëÇÑ´Ù
¡á ½Å·Ú ±¸°£, ¥ìÀÇ 100(1-a)% ½Å·Ú±¸°£: 