
RBD(½Å·Ú¼º ºí·Ïµµ)´Â ±¸¼ºµÈ ½Ã½ºÅÛ Æ®¸®¿Í ±¸Á¶ºÐ¼®¿¡¼ ³ªÅ¸³ FBD(±â´Éºí·Ïµµ)¸¦ ±âÁØÀ¸·Î ÀÛ¼ºÇÑ´Ù.
°¢ ºí·ÏÀº ¹°¸®ÀûÀÎ ºÎǰ±×·ì ȤÀº ±â´ÉÀûÀÎ °³Ã¼¿Í ÀÏÄ¡ÇÏ¸ç ¼·Î µ¶¸³ÀûÀÎ °íÀåÀ» ¸ñÀûÀ¸·Î ¼±Á¤µÈ´Ù.
RBD(½Å·Ú¼º ºí·Ïµµ)´Â °ü·Ã ÀÖ´Â ºÎǰ³¢¸®ÀÇ ½Å·ÚµµÀÇ ¿¬°á Model·Î ³Î¸® »ç¿ëµÇ°í ÀÖ´Ù
¿¹¸¦ µé¸é, PCB »óÀÇ ºÎǰµé, System°ú Sub-System ȤÀº ºÐ»êµÇ¾î ÀÖ´Â Systemµé°£ÀÇ ¿¬°á µî...
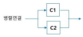
µÎ ¿ä¼ÒºÎǰ, C1°ú C2¿¡ ÀÇÇÑ ´Ü¼ø RBSÀÇ ¿¹¸¦ º¸¸é Á÷·Ä¿¬°á °ú º´·Ä ¿¬°áÀÇ ¸ð½ÀÀº ´ÙÀ½°ú °°´Ù.


½Å·Ú¼º ºí·Ïµµ(RBD) ÀÛ¼ºÀº ¼³°è Ãʱâ´Ü°è¿¡ »ç¿ëÇÏ¿© ½Å·Ú¼º ¸ñÇ¥¸¦ ¸¸Á·½Ã۱â À§ÇÑ ºü¸¥ °áÁ¤À»
ÇÒ ¼ö ÀÖÀ¸¸ç ÀϹÝÀûÀ¸·Î ½Ã½ºÅÛÀÇ ±¸¼º´Ü°è¿¡ ½Ç½ÃÇÏ°í ½Ã½ºÅÛÀÇ ±¸¼ºÀ» À§ÇÑ ÁÖ¿ä°áÁ¤¿¡ »ç¿ëÇÑ´Ù.
RBD(½Å·Ú¼º ºí·Ïµµ)ÀÇ ±âº» ±¸Á¶´Â °¢ ºÎǰÀÇ °ü°è¸¦ ºÐ¼®ÇÏ¿© ¿ÞÂÊ¿¡¼ ¿À¸¥ÂÊÀ¸·Î ¿¬°áµÈ ºí·Ï(ºÎǰ)µé°ú
ÀÛµ¿¼ø¼°¡ ÀÏÄ¡µÇ¾î¾ß Çϸç, °æ¿ì¿¡ µû¶ó¼´Â ½Ã½ºÅÛÀÇ ±â´É ȤÀº »óŸ¸À» Áß½ÉÀ¸·Î Ç¥ÇöÇÒ ¼ö ÀÖ´Ù.
½Ã½ºÅÛ¿¡ ºÎ¿©µÇ´Â ¹°Áú, ±¸Á¶Àû Èû, ¿¡³ÊÁö, Á¤º¸ È帧°ú °°Àº ½Ã½ºÅÛ³»ÀÇ °ü·Ã ºÎǰµéÀÇ ±â´ÉÀ» Ç¥ÇöÇÏ¿©
½Ã½ºÅÛÀÇ ±â´ÉÀû ½Å·Úµµ¸¦ Æò°¡ÇÏ°í ¿¹ÃøÇÒ ¼ö ÀÖ´Ù.

¸ðµç ½Ã½ºÅÛÀÇ ±â´ÉÀº Á÷·Ä ȤÀº º´·Ä·Î ±¸¼ºÇÒ ¼ö ÀÖÀ¸¸ç ±â°èºÎǰÀÇ °æ¿ì °ÅÀÇ Á÷·Ä ½Ã½ºÅÛÀ¸·Î
Ç¥ÇöÇÒ ¼ö ÀÖ´Ù.
¡á Á÷·Ä ±¸Á¶ : SystemÀÌ Á¤»ó °¡µ¿Çϱâ À§Çؼ´Â ¸ðµç ºÎǰÀÌ ´Ù Á¤»ó ÀÛµ¿ÇØ¾ß ÇÑ´Ù.
ÇϳªÀÇ ºí·ÏÀÌ¶óµµ °íÀåÀÌ ¹ß»ýÇϸéSystemÀÇ °íÀåÀ» ÀÏÀ¸Å²´Ù.


¡á º´·Ä ±¸Á¶ : System¿¡¼ º´·Ä¿¬°á¿¡ ÇØ´çµÇ´Â ¸ðµç ºí·ÏÀÌ °íÀå ³ª¾ß ½ÅÈ£°æ·Î°¡ ²÷°Ü SystemÀÌ °íÀå ³´Ù.


½Å·Ú¼º ºí·Ïµµ(RBD)´Â FMEA¿Í FTA Àü°³¿Íµµ ¹ÐÁ¢ÇÏ°Ô ¿¬°üµÇ¾î ÀÖ´Ù. FMEA Àü°³¸¦ À§ÇÑ 1´Ü°è¿¡¼µµ
½Å·Ú¼º ºí·Ï ´ÙÀ̾î±×·¥ ÀÛ¼º ´Ü°è°¡ ÀÖ´Ù. FMEA¸¦ ½Ç½ÃÇϱâ ÀüÀÎ Áغñ´Ü°è¿¡¼ ½Ã½ºÅÛÀÇ ±¸¼º ¹×
ÀڷḦ Ȱ¿ëÇÏ¿© ºÐ¼® ÁöÇ¥¸¦ °áÁ¤ÇÏ°í ±×¿¡ ÇØ´çÇÏ´Â ½Å·Ú¼º ºí·Ï ´ÙÀ̾î±×·¥À» ÀÛ¼ºÇÏ´Â °ÍÀÌ´Ù.

±×·±´ÙÀ½, FMEA Àü°³¸¦ À§ÇÑ 2´Ü°è´Â ¹ß»ý°¡´ÉÇÑ ¸ðµç °íÀå ÇüÅÂ(Failure Mode)¸¦ ³ª¿ÇÑ µÚ ÀÌÁß¿¡¼
FMEA¿¡¼ ±¸Ã¼ÀûÀ¸·Î ´Ù·ç°íÀÚ ÇÏ´Â °íÀå ÇüŸ¦ ¼±Á¤ÇÏ´Â ´Ü°è·Î À̾îÁø´Ù.
½Å·Ú¼º ºí·Ïµµ¸¦ ¹ÙÅÁÀ¸·Î ½Ã½ºÅÛÀÇ ½Å·Úµµ¸¦ °è»êÇÒ ¼ö ÀÖ´Ù