
±Þ¿©¿Í ±Ù¹«¿¬¼ö¿ÍÀÇ °ü°è¸¦ ȸ±ÍºÐ¼®ÇØ º¸¸é ´ÙÀ½°ú °°Àº °á°ú¸¦ ±¸ÇÒ ¼ö ÀÖ´Ù.
Regression Analysis: Salary versus Years
The regression equation is
Salary = 60.70 + 2.169 Years
S = 5.56671 R-Sq = 83.3% R-Sq(adj) = 82.8%
Analysis of Variance
Source DF SS MS F P
Regression 1 5086.02 5086.02 164.13 0.000
Error 33 1022.61 30.99
Total 34 6108.63
ȸ±Í½Ä°ú ÇÔ²² ANOVA table¿¡ Á¦°öÇÕ(SS, Sum of Squares)À» º¼ ¼ö Àִµ¥...
À̰ªµéÀÌ ¾î¶»°Ô ±¸ÇØÁö´ÂÁö ¾Ë¾Æº¸ÀÚ.
ANOVA table¿¡ SS(Regression)ÀÇ Åë°èÀûÀÎ Àǹ̴ ´ÙÀ½°ú °°´Ù
SS(Regression) °ªÀÇ Åë°èÀû Àǹ̴ ȸ±Í½ÄÀ¸·Î ¼³¸íµÇ´Â º¯µ¿°ªÀÌ´Ù.
SS(Error) °ªÀÇ Åë°èÀû Àǹ̴ ȸ±Í½ÄÀ¸·Î ¼³¸íµÇÁö ¾ÊÀº º¯µ¿°ªÀÌ´Ù.
¿©±â¼ ¿ÀÂ÷ (Error) = °üÃøÄ¡(observed value) - ¿¹ÃøÄ¡(predicted value)
±×¸®°í SS(Total) Áï, ÃÑ Á¦°öÇÕÀº yÀÇ ÃÑ º¯µ¿À» Ç¥½ÃÇÑ´Ù.
ÃÑ Á¦°öÇÕ = ȸ±Í Á¦°öÇÕ(SSR) + ¿ÀÂ÷ÀÇ Á¦°öÇÕ(SSE)ÀÌ´Ù.

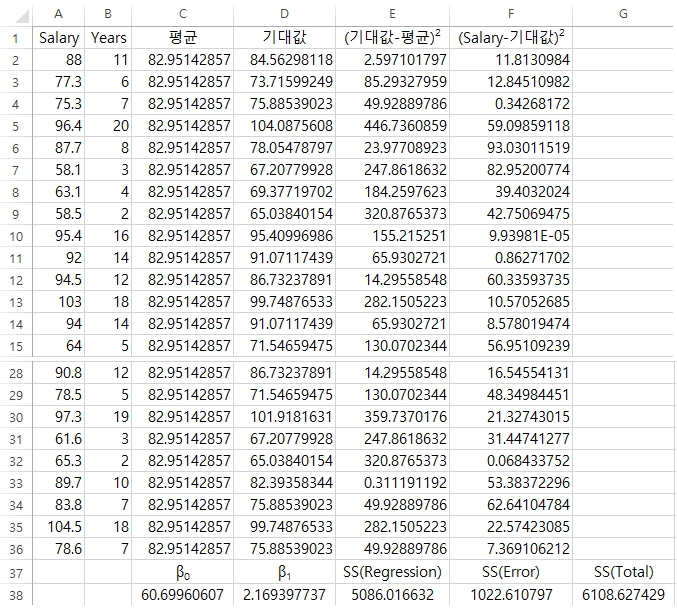
À§¿¡¼ ȸ±ÍºÐ¼®À» Çϱâ À§ÇØ »ç¿ëÇÑ µ¥ÀÌÅ͸¦ ÀÌ¿ëÇÏ¿© ÀÌ °ªµéÀ» Á÷Á¢°è»êÇØº¸ÀÚ.
1. SalaryÀÇ Æò±Õ°ªÀ» ±¸ÇÑ´Ù. (82.95142857)
2. ȸ±Í½ÄÀ» »ç¿ëÇÏ¿© °³º° °üÃø°ª¿¡ ´ëÇÑ ±â´ë°ªÀ» ±¸ÇÑ´Ù
- ¥â0(60.69960607), ¥â1(2.169397737)
- 84.56298118, 73.71599249, 75.88539023, ... , 75.88539023
3. °³º° °üÃø°ª¿¡ ´ëÇÑ (±â´ë°ª-Æò±Õ)^2À» °è»êÇÏ¿© ÀüºÎ ´õÇÑ´Ù(5086.016632)
- ÀÌ °ªÀÌ ¹Ù·Î SS(Regression) °ªÀÌ´Ù
- Áï, ȸ±Í½ÄÀ¸·Î ±¸ÇÑ ±â´ë°ª°ú Àüü Æò±Õ°úÀÇ Â÷ÀÌÀÇ Á¦°öÇÕ(º¯µ¿ÀÇ Å©±â)ÀÌ´Ù

4. °³º°°üÃø°ª¿¡ ´ëÇÑ (Salary-±â´ë°ª)^2À» °è»êÇÏ¿© ÀüºÎ ´õÇÑ´Ù(1022.610797)
- ÀÌ °ªÀÌ ¹Ù·Î SS(Error) °ªÀÌ´Ù
- Áï, °³º° °üÃø°ª°ú ȸ±Í½ÄÀ¸·Î ±¸ÇÑ ±â´ë°ª°úÀÇ Â÷ÀÌÀÇ Á¦°öÇÕ(º¯µ¿ÀÇ Å©±â)ÀÌ´Ù
5. ¸¶Áö¸·À¸·Î SS(Regression) °ª°ú SS(Error) °ªÀ» ´õÇÑ´Ù(6108.627429)
- ÀÌ °ªÀÌ SS(Total)·Î¼ yÀÇ ÃÑ º¯µ¿(ȸ±Í½ÄÀ¸·Î ¼³¸íµÈ º¯µ¿+¼³¸íµÇÁö ¸øÇÑ º¯µ¿)À» Ç¥½ÃÇÑ´Ù