
t-test(t-°ËÁ¤)´Â Á¤±Ô ºÐÆ÷¸¦ µû¸£´Â Çϳª ¶Ç´Â µÎ ¸ðÁý´ÜÀÇ Æò±Õ¿¡ ´ëÇÑ °¡¼³ °ËÁ¤ÀÌ´Ù.
»óȲ¿¡ µû¶ó ¿©·¯ À¯ÇüÀÇ t-°ËÁ¤ÀÌ Á¸ÀçÇÏÁö¸¸, ¸ðµç t-test(t-°ËÁ¤)´Â ±Í¹« °¡¼³¿¡¼ t-ºÐÆ÷¸¦ µû¸£´Â
°ËÁ¤ Åë°è·®À» »ç¿ëÇÑ´Ù.
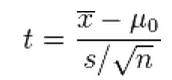
"1 sample t-test(1 Ç¥º» t-°ËÁ¤)"
´ÜÀÏ ¸ðÁý´ÜÀÇ Æò±ÕÀÌ ¸ñÇ¥°ª°ú °°ÀºÁö ¿©ºÎ¸¦ °ËÁ¤ÇÑ´Ù.
¿¹ : A ´ëÇб³ ¿©ÇлýÀÇ Æò±Õ ۰¡ 165cm ÀÌ»óÀΰ¡?

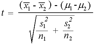
"2 sample t-test(2 Ç¥º» t-°ËÁ¤)"
µ¶¸³ÀûÀÎ µÎ ¸ðÁý´ÜÀÇ Æò±Õ °£ÀÇ Â÷À̰¡ ¸ñÇ¥°ª°ú °°ÀºÁö ¿©ºÎ¸¦ °ËÁ¤ÇÑ´Ù.
¿¹ : A ´ëÇб³ ¿©ÇлýÀÇ Æò±Õ ۰¡ ³²ÇлýÀÇ Æò±Õ Ű¿Í À¯ÀÇÇÑ Â÷À̰¡ Àִ°¡?

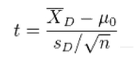
"Paired t-test(´ëÀÀÇ¥º» t-°ËÁ¤)"
Á¾¼Ó ¶Ç´Â ½Öü °üÃøÄ¡ °£ Â÷ÀÌÀÇ Æò±ÕÀÌ ¸ñÇ¥°ª°ú °°ÀºÁö ¿©ºÎ¸¦ °ËÁ¤ÇÑ´Ù.
¿¹ : A ´ëÇб³ ¿©ÇлýµéÀÇ Ã¼ÁßÀ» üÁß °¨·® ¾Ë¾àÀ» º¹¿ëÇϱâ Àü°ú º¹¿ëÇÑ ÈÄ¿¡ ÃøÁ¤ÇÏ´Â °æ¿ì,
°¨·®µÈ üÁßÀÇ Æò±ÕÀÌ ¾Ë¾àÀÌ È¿°ú°¡ ÀÖ´Ù´Â °á·ÐÀ» ³»¸®±â¿¡ ÃæºÐÈ÷ À¯ÀÇÇѰ¡?

"ȸ±ÍºÐ¼® °á°úÀÇ t-test"
ȸ±Í ¹æÁ¤½ÄÀÇ °è¼ö °ªÀÌ 0°ú À¯ÀÇÇÏ°Ô ´Ù¸¥Áö ¿©ºÎ¸¦ °ËÁ¤ÇÑ´Ù.
¿¹: ¼ö´É½ÃÇèÁ¡¼ö°¡ ´ëÇÐÇÐÁ¡À» ¿¹ÃøÇÏ´Â µ¥ À¯ÀÇÇѰ¡?

t-test(t-°ËÁ¤)ÀÇ Áß¿äÇÑ Æ¯¼º Áß Çϳª´Â ¸ðÁý´ÜÀÇ Á¤±Ô¼º °¡Á¤¿¡ ´ëÇÑ ·Î¹ö½ºÆ®¼ºÀÌ´Ù.
Áï, t-test(t-°ËÁ¤)´Â Á¤±Ô¼ºÀÇ °¡Á¤À» À§¹ÝÇÏ´Â °æ¿ì¿¡µµ Àß ÀÛµ¿ÇÏÁö¸¸, ºÐÆ÷°¡ ½ÉÇÏ°Ô Ä¡¿ìÄ¡Áö ¾ÊÀº
°æ¿ì¿¡¸¸ ±×·¸´Ù. ÀÌ·¯ÇÑ Æ¯¼º ¶§¹®¿¡ t-test(t-°ËÁ¤)´Â ¸ðÁý´Ü Æò±ÕÀ» Ãß·ÐÇÏ´Â µ¥ ÀÖ¾î °¡Àå À¯¿ëÇÑ
¹æ¹ýÀ¸·Î »ç¿ëµÈ´Ù.
±×·¯³ª Á¤±ÔºÐÆ÷¸¦ µû¸£Áö ¾ÊÀ¸¸ç ½ÉÇÏ°Ô Ä¡¿ìÄ£ ºÐÆ÷ÀÇ °æ¿ì ºñ¸ð¼ö °ËÁ¤À» »ç¿ëÇÏ´Â °ÍÀÌ ´õ ÀûÀýÇÏ´Ù.