
1 proportion test (´ÜÀÏ ºñÀ² °ËÁ¤)¸¦ »ç¿ëÇÏ¸é ¸ðÁý´ÜÀÇ ºñÀ²À» ÃßÁ¤ÇÏ¿© ¸ñÇ¥°ª ¶Ç´Â
±âÁذª°ú ºñ±³ÇÏ¿© ´ÙÀ½ ÀÛ¾÷À» ¼öÇàÇÒ ¼ö ÀÖ´Ù.
• ±×·ìÀÇ ºñÀ²ÀÌ ÁöÁ¤µÈ °ª°ú ´Ù¸¥Áö ¿©ºÎ È®ÀÎ
• ¸ðÁý´Ü ºñÀ²À» Æ÷ÇÔÇÒ °¡´É¼ºÀÌ ÀÖ´Â °ªÀÇ ¹üÀ§ °è»ê

1 proportion test (´ÜÀÏ ºñÀ² °ËÁ¤)¿¡ ´ëÇÑ °¡¼³Àº ´ÙÀ½°ú °°´Ù.
• ±Í¹« °¡¼³, Ho: ¥ñ = ¥ñ0 ¸ðÁý´Ü ºñÀ²(¥ñ)ÀÌ ±Í¹« °¡¼³¿¡¼ÀÇ ºñÀ²(¥ñ0)°ú °°´Ù.
• ´ë¸³ °¡¼³ ´ÙÀ½ Áß Çϳª¸¦ ¼±ÅÃÇÕ´Ï´Ù.
- Ha: ¥ñ ¡Á ¥ñ0 ¸ðÁý´Ü ºñÀ²(¥ñ)ÀÌ ±Í¹« °¡¼³¿¡¼ÀÇ ºñÀ²(¥ñ0)°ú ´Ù¸£´Ù.
- Ha: ¥ñ > ¥ñ0 ¸ðÁý´Ü ºñÀ²(¥ñ)ÀÌ ±Í¹« °¡¼³¿¡¼ÀÇ ºñÀ²(¥ñ0)º¸´Ù Å©´Ù.
- Ha: ¥ñ < ¥ñ0 ¸ðÁý´Ü ºñÀ²(¥ñ)ÀÌ ±Í¹« °¡¼³¿¡¼ÀÇ ºñÀ²(¥ñ0)º¸´Ù ÀÛ´Ù.
1 proportion test (´ÜÀÏ ºñÀ² °ËÁ¤)¿¡¼´Â ±âº»ÀûÀ¸·Î ÀÌÇ×ºÐÆ÷(Exact method)¸¦ »ç¿ëÇÏ¿©
°¡¼³°ËÁ¤ ¹× ½Å·Ú ±¸°£À» °è»êÇÑ´Ù.
¿¹¸¦ µé¾î, ¹«ÀÛÀ§·Î ¼±Á¤ÇÑ »ùÇÿ¡¼ ÃëÇÑ ¼±È£µµ ´ëÇÑ µ¥ÀÌÅͰ¡ ÀÖÀ¸¸ç ¸ñÇ¥ ¼±È£µµ(0.65)
º¸´Ù ³ôÀºÁö È®ÀÎÇÏ·Á°í ÇÑ´Ù.

Test and CI for One Proportion
Test of p = 0.65 vs p > 0.65
Sample X N Sample p 95% Lower Bound Z-Value P-Value
1 560 950 0.589474 0.563221 -3.91 1.000
Using the normal approximation.
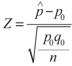
´ëºÎºÐÀÇ Á¤±Ô±Ù»ç ¹æ¹ý(Normal approximation)À» »ç¿ëÇÏÁö¸¸ Á¤È®ÇÑ ¹æ¹ý(Exact method)ÀÌ
Á¤±Ô±Ù»ç ¹æ¹ý(Normal approximation)º¸´Ù ´õ Á¤È®ÇÏ°í °·ÂÇÏ´Ù.
Á¤±Ô±Ù»ç(Normal approximation)¸¦ »ç¿ëÇϸé p-value¿Í ½Å·Ú±¸°£ »çÀÌ¿¡ ´Ù¸¥ °á·ÐÀ»
¾òÀ» ¼ö Àִµ¥ ÀÌ´Â °ËÁ¤ Åë°è·®À» °è»êÇÒ ¶§ ±Í¹«°¡¼³¿¡¼ÀÇ È®·ü(¥ñ0)À» »ç¿ëÇϸç
½Å·Ú±¸°£À» °è»êÇÒ ¶§ °üÃøµÈ È®·üÀ» »ç¿ëÇϱ⠶§¹®ÀÌ´Ù.
µû¶ó¼ °á·Ð¿¡ Â÷À̰¡ ÀÖÀ» ¼ö ÀÖÀ¸¸ç, ƯÈ÷ Z °ªÀÌ ´õ Å« °æ¿ì ¥ñ0¿Í ¸ðÁý´Ü ºñÀ² »çÀÌ¿¡
Å« Â÷À̰¡ ÀÖ´Ù°í ³ªÅ¸³¾ ¼ö ÀÖ´Ù.

Test and CI for One Proportion
Test of p = 0.65 vs p > 0.65
Exact
Sample X N Sample p 95% Lower Bound P-Value
1 560 950 0.589474 0.562515 1.000