
2 proportion test(µÎ ºñÀ² °ËÁ¤)¸¦ »ç¿ëÇÏ¿© ´ÙÀ½ ÀÛ¾÷À» ¼öÇàÇÒ ¼ö ÀÖ´Ù.
• µÎ ±×·ìÀÇ ºñÀ²ÀÌ ¼·Î ´Ù¸¥Áö ¿©ºÎ È®ÀÎ
• ¸ðÁý´Ü ºñÀ² °£ÀÇ Â÷À̸¦ Æ÷ÇÔÇÒ °¡´É¼ºÀÌ ÀÖ´Â °ªÀÇ ¹üÀ§ °è»ê
2 proportion test(µÎ ºñÀ² °ËÁ¤)ÀÇ °¡¼³Àº ´ÙÀ½°ú °°´Ù.
• ±Í¹«°¡¼³, H0: ¥ñ1- ¥ñ2 = d0 ¸ðÁý´Ü ºñÀ²(¥ñ1- ¥ñ2) °£ÀÇ Â÷À̰¡ ±Í¹« °¡¼³¿¡¼ÀÇ Â÷ÀÌ(d0)¿Í °°´Ù.
• ´ë¸³°¡¼³ ´ÙÀ½ Áß Çϳª¸¦ ¼±ÅÃÇÑ´Ù.
- H1: ¥ñ1- ¥ñ2 ¡Á d0 ¸ðÁý´Ü ºñÀ²(¥ñ1- ¥ñ2) °£ÀÇ Â÷À̰¡ ±Í¹« °¡¼³¿¡¼ÀÇ Â÷ÀÌ(d0)¿Í °°Áö ¾Ê´Ù.
- H1: ¥ñ1- ¥ñ2 > d0 ¸ðÁý´Ü ºñÀ²(¥ñ1- ¥ñ2) °£ÀÇ Â÷À̰¡ ±Í¹«°¡¼³¿¡¼ÀÇ Â÷ÀÌ(d0)º¸´Ù Å©´Ù.
- H1: ¥ñ1- ¥ñ2 < d0 ¸ðÁý´Ü ºñÀ²(¥ñ1- ¥ñ2) °£ÀÇ Â÷À̰¡ ±Í¹«°¡¼³¿¡¼ÀÇ Â÷ÀÌ(d0)º¸´Ù ÀÛ´Ù.

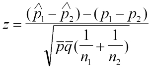
2 proportion test(µÎ ºñÀ² °ËÁ¤)¿¡¼´Â ±âº»ÀûÀ¸·Î ÀÌÇ× ºÐÆ÷ÀÇ Á¤±Ô±Ù»ç ¹æ¹ý(Normal approximation)¸¦
»ç¿ëÇÏ¿© °¡¼³°ËÁ¤°ú ½Å·Ú±¸°£À» °è»êÇÑ´Ù. Á¤±Ô±Ù»ç ¹æ¹ý(Normal approximation)´Â Ç¥º» Å©±â°¡ Å©°í
ºñÀ²ÀÌ 0%³ª 100%¿¡ ¾ÆÁÖ °¡±õÁö ¾ÊÀº °æ¿ì µÎ ÀÌÇ× ·£´ýº¯¼ö °£ÀÇ Â÷À̸¦ ±Ù»çÇϱâ À§ÇØ »ç¿ëÇÒ ¼ö ÀÖ´Ù.
¶ÇÇÑ 0ÀÇ °ËÁ¤ Â÷À̸¦ ÁöÁ¤ÇÏ´Â °æ¿ì ¸ðµç »ùÇð¹¼ö¿Í ºñÀ²¿¡ ´ëÇØ FisherÀÇ Exact test¸¦ ¼öÇàÇØ¾ß ÇÑ´Ù.
FisherÀÇ Exact test´Â ÃʱâÇÏ ºÐÆ÷¸¦ ±â¹ÝÀ¸·Î ÇÑ´Ù.

»ç°Ç ¶Ç´Â ºñ»ç°ÇÀÇ ¼ö°¡ ÀÛÀº °æ¿ì Á¤±Ô±Ù»ç ¹æ¹ý(Normal approximation)°¡ ºÎÁ¤È®ÇÒ ¼ö ÀÖ´Ù.
ÇÑÂÊ »ùÇÃÀÇ »ç°Ç ¶Ç´Â ºñ»ç°ÇÀÇ ¼ö°¡ 5º¸´Ù ÀÛÀº °æ¿ì ÁÖÀǰ¡ ÇÊ¿äÇÏ´Ù.
FisherÀÇ Exact test´Â ¸ðµç »ùÇð¹¼ö¿Í ºñÀ²¿¡ ´ëÇØ Á¤È®ÇÏ´Ù.

¿¹¸¦ µé¾î »ùÇÃÀ» °°ÀÌ º¸³»¸é Á¶»ç¿¡ ÀÀÇÏ´Â ¼ÒºñÀÚÀÇ ºñÀ²ÀÌ ³ô¾ÆÁö´ÂÁö ¾Ë¾Æº¸·Á°í ÇÑ´Ù.
ÀÌ °æ¿ì Á¶»çÁö¸¦ ¿ìÆíÀ¸·Î º¸³¾ ¶§ ÀÌ Áß 1/2¿¡´Â »ùÇÃÀ» °°ÀÌ º¸³»º¸¸é »ùÇÃÀ» ¹ÞÁö¾ÊÀº ±×·ìº¸´Ù
»ùÇÃÀ» ¹ÞÀº ±×·ìÀÇ Á¶»ç ÀÀ´ä·üÀÌ ´õ ³ôÀºÁö È®ÀÎÇÒ ¼ö ÀÖ´Ù.