
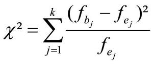
Ä«ÀÌ-Á¦°ö Åë°è·®Àº µ¥ÀÌÅÍ ºÐÆ÷ ¹× »ç¿ëÀÚ°¡ ¼±ÅÃÇÑ ±â´ë ¶Ç´Â
°¡Á¤µÈ ºÐÆ÷ °£ÀÇ Â÷À̸¦ ³ªÅ¸³»´Â ÃøÁ¤°ªÀÌ´Ù.
• ¹üÁÖÇü ¹ü¼ö °£ÀÇ µ¶¸³¼ºÀ» °ËÁ¤Çϰųª ¿¬°ü¼ºÀ» È®ÀÎÇÏ´Â µ¥ »ç¿ëÇÑ´Ù.
¿¹¸¦ µé¾î, À¯±ÇÀÚÀÇ ¼ºº°¿¡ µû¶ó ±¸ºÐµÈ ¼±°Å °á°ú°¡ Æ÷ÇÔµÈ ÀÌ¿øÇ¥°¡ ÀÖ´Â °æ¿ì,
Ä«ÀÌ-Á¦°ö Åë°è·®À» °è»êÇÏ¿© À¯±ÇÀÚÀÇ ¼ºº°ÀÌ ÅõÇ¥¿Í »ó°ü ¾ø´ÂÁö
¶Ç´Â ÅõÇ¥¿Í ¼ºº° °£¿¡ ¾î¶² ¿¬°ü¼ºÀÌ ÀÖ´ÂÁö ¿©ºÎ¸¦ È®ÀÎÇÒ ¼ö ÀÖ´Ù.

Ä«ÀÌ-Á¦°ö Åë°è·®¿¡ ¿¬°üµÈ p-°ªÀÌ ¼±ÅÃÇÑ ¥áº¸´Ù ÀÛÀº °æ¿ì,
°ËÁ¤Àº µÎ º¯¼ö°¡ µ¶¸³ÀûÀ̶ó´Â ±Í¹«°¡¼³À» ±â°¢ÇÑ´Ù.
• Åë°èÀû ¸ðÇüÀÌ µ¥ÀÌÅÍ¿¡ ÀûÇÕÇÑÁö °áÁ¤ÇÏ´Â µ¥ »ç¿ëÇÑ´Ù.
¿¹¸¦ µé¾î, ·ÎÁö½ºÆ½ ȸ±Í ºÐ¼®¿¡¼´Â ¸ðÇüÀÇ ÀûÇÕµµ¸¦ Æò°¡Çϱâ À§ÇØ
Ä«ÀÌ-Á¦°ö Åë°è·®À» °è»êÇÏ°í ¿¬°üµÈ p-°ªÀÌ ¼±ÅÃÇÑ ¥áº¸´Ù ÀÛÀº °æ¿ì,
°ËÁ¤Àº ¸ðÇüÀÌ µ¥ÀÌÅÍ¿¡ ÀûÇÕÇÏ´Ù´Â ±Í¹«°¡¼³À» ±â°¢ÇÑ´Ù.

¡Ø Æ÷¾Æ¼Û µ¥ÀÌÅÍ¿¡ ´ëÇÑ ÀûÇÕµµ °ËÁ¤¿¡¼´Â Ä«ÀÌ-Á¦°ö Åë°è·®À» »ç¿ëÇÏ¿© µ¥ÀÌÅͰ¡
Æ÷¾Æ¼Û ºÐÆ÷¸¦ µû¸£´ÂÁö ¿©ºÎ¸¦ °áÁ¤ÇÑ´Ù.
µ¥ÀÌÅͰ¡ ÀÌ»êÇüÀÎ °æ¿ì °¢ ¹üÁÖÀÇ Ä«ÀÌ-Á¦°ö °ª¿¡ ´ëÇÑ ±â¿©µµ¸¦ ÆÄ¾ÇÇÔÀ¸·Î½á,
Àüü Ä«ÀÌ-Á¦°ö °ª Áß¿¡¼ °¢ ¹üÁÖÀÇ Â÷ÀÌ·Î ÀÎÇÑ ºñÀ²À» ¾çÀûÀ¸·Î ³ªÅ¸³¾ ¼ö ÀÖ´Ù.
¿¹¸¦ µé¾î, ÀûÇÕµµ °ËÁ¤¿¡¼ ±Í¹« °¡¼³À» ±â°¢ÇÒ °æ¿ì ÀÌ·¯ÇÑ °á°ú´Â
¸ðµç ¹üÁÖ°¡ °¢ ¹üÁÖÀÇ ±â´ë°ª°ú Á¶±Ý¾¿ Â÷À̰¡ Àֱ⠶§¹®ÀÎÁö ÇÑ ¹üÁÖ¿¡¼¸¸ ÇØ´ç ¹üÁÖÀÇ
±â´ë°ª°ú Å©°Ô Â÷À̰¡ Àֱ⠶§¹®ÀÎÁö¸¦ ³ªÅ¸³¾ ¼ö ÀÖ´Ù.

¹°°¨ »óÀÚ¿¡ ÆÄ¶õ»ö, »¡°£»ö ¹× ³ë¶õ»ö ¹°°¨ÅëÀÌ Çϳª¾¿ µé¾î ÀÖÀ» °ÍÀ¸·Î ¿¹»óÇߴµ¥
»¡°£»öÀº ¾ø°í ÆÄ¶õ»ö ¹°°¨ÅëÀÌ Çϳª, ³ë¶õ»ö ¹°°¨ÅëÀÌ µÎ °³ µé¾î ÀÖ´Ù°í °¡Á¤ÇØ º¸ÀÚ.
"³ë¶û"°ú "»¡°£»ö" ¹üÁÖ´Â ±â´ë°ªÀ» ÃæÁ·ÇÏÁö ¸øÇÏÁö¸¸ "ÆÄ¶õ»ö"Àº ±â´ë°ªÀ» ÃæÁ·ÇÏ°Ô µÇ¹Ç·Î
"ÆÄ¶õ»ö"Àº Ä«ÀÌ-Á¦°ö °ª¿¡ ¾Æ¹«·± ±â¿©µµ ÇÏÁö ¾ÊÀ¸¸ç µ¥ÀÌÅÍÀÇ ¸ðµç Â÷ÀÌ´Â
"³ë¶õ»ö"°ú "»¡°£»ö" ¹üÁÖ¿¡¼ ¹ß»ýÇÏ°Ô µÈ´Ù.