
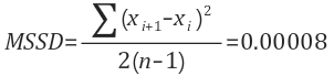
¿¬¼ÓµÈ Â÷ÀÌ Á¦°ö Æò±Õ(MSSD)Àº ºÐ»êÀÇ ÃßÁ¤Ä¡·Î »ç¿ëµÈ´Ù.
¿¬¼ÓµÈ °üÃøÄ¡ÀÇ Â÷À̸¦ Á¦°öÇÏ¿© ÇÕÇÑ ´ÙÀ½, ±× ÇÕÀÇ Æò±ÕÀ» 2·Î ³ª´²¼ °è»êÇÑ´Ù.
µÎ °¡ÁöÀÇ ÀϹÝÀûÀÎ ¿ëµµ´Â ´ÙÀ½°ú °°´Ù.
¡á ±âÃÊ Åë°è - MSSD´Â ÀÏ·ÃÀÇ °üÃøÄ¡°¡ ·£´ýÀÎÁö ¿©ºÎ¸¦ È®ÀÎÇϱâ À§ÇÑ °ËÁ¤¿¡ ÀϹÝÀûÀ¸·Î »ç¿ëµÈ´Ù.
ÀÌ °ËÁ¤¿¡¼´Â ÃßÁ¤µÈ ¸ðÁý´Ü ºÐ»êÀ» ¿¬¼ÓµÈ Â÷ÀÌ Á¦°ö Æò±Õ(MSSD)°ú ºñ±³ÇÑ´Ù.
¡á °ü¸®µµ - MSSD´Â ºÎºÐ±º Å©±â°¡ 1ÀÏ ¶§ °ü¸®µµÀÇ ºÐ»êÀ» ÃßÁ¤ÇÏ´Â µ¥ »ç¿ëÇÒ ¼öµµ ÀÖ´Ù.
MSSD¸¦ »ç¿ëÇÏ¿© Ç¥ÁØ ÆíÂ÷¸¦ ÃßÁ¤ÇØ¾ß ÇÏ´Â °æ¿ì
¿¬¼ÓµÈ µÎ °³ÀÇ Á¡ÀÌ ÇÕ¸®ÀûÀÎ ºÎºÐ±ºÀ» ±¸¼ºÇÏÁö ¸øÇϰí À̵¿ ¹üÀ§[MR] ¹æ¹ýÀ» »ç¿ëÇÒ ¼ö ¾ø´Â °æ¿ì,
MSSD ¹æ¹ýÀ» ´ë½Å »ç¿ëÇÒ ¼ö ÀÖ´Ù. Ç¥ÁØ ÆíÂ÷ÀÇ ÃßÁ¤Ä¡·Î »ç¿ëÇÏ·Á¸é MSSDÀÇ Á¦°ö±ÙÀ» °è»êÇÑ´Ù.

¿¹¸¦ µé¾î ¹é½ÅÀ» ¾àº´¿¡ ä¿ì´Â ±â°è¿¡ ´ëÇÑ µ¥ÀÌÅ͸¦ ¼öÁýÇÑ´Ù°í °¡Á¤ÇÑ´Ù.
±â°è°¡ ·£´ýÇÏ°Ô ºÐ¹èÇÏ´ÂÁö, Áï Æ¯¼ö º¯µ¿ ¿øÀÎÀÌ ¾ø´ÂÁö È®ÀÎÇÏ·Á°í ÇÑ´Ù.
¾àº´ 12°³ÀÇ ³»¿ë¹° ºÎÇÇ´Â ´ÙÀ½°ú °°´Ù.
0.500ml 0.480ml 0.490ml 0.500ml
0.505ml 0.500ml 0.490ml 0.498ml
0.500ml 0.479ml 0.490ml 0.510ml
1) MSSD¸¦ °è»êÇÏ·Á¸é 0.500ml¿¡¼ 0.480ml¸¦ »©¼ ù ¹øÂ° Â÷À̸¦ ±¸Çϸé Â÷ÀÌ´Â 0.02
2) 0.480ml¿¡¼ 0.490ml¸¦ »©¼ µÎ ¹øÂ° Â÷À̸¦ ±¸Çϸé Â÷ÀÌ´Â -0.01
3) °°Àº ¹æ¹ýÀ¸·Î 11¹øÂ° Â÷À̱îÁö ±¸ÇÑ´Ù.
4) ÀÌ ÇÕÀ» 22, Áï 2(n-1)·Î ³ª´«´Ù.
